Problem2190--二叉树

2190: 二叉树

Time Limit: 1.000 Sec  Memory Limit: 32 MB
Submit: 0  Solved: 2
[Submit] [Status] [Web Board] [Creator:][下载测试数据]

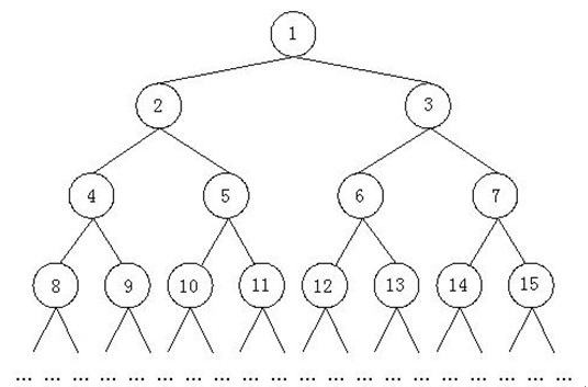
Description

 


    如上所示,由正整数123……组成了一颗特殊二叉树。我们已知这个二叉树的最后一个结点是n。现在的问题是,结点m所在的子树中一共包括多少个结点。

    比如,n = 12m = 3那么上图中的结点131415以及后面的结点都是不存在的,结点m所在子树中包括的结点有36712,因此结点m的所在子树中共有4个结点。


Input

输入数据包括多行,每行给出一组测试数据,包括两个整数mn (1 <= m <= n <= 1000000000)。最后一组测试数据中包括两个0,表示输入的结束,这组数据不用处理。


Output

 对于每一组测试数据,输出一行,该行包含一个整数,给出结点m所在子树中包括的结点的数目。


Sample Input

3 7
142 6574
2 754
0 0

Sample Output

3
63
498

Source/Category


[Submit] [Status]